Improved Dynamic Event-Triggered Consensus Control for Multi-Agent Systems with Designable Inter-Event Time

Cite as:
Z. Wang and M. Chadli, “Improved Dynamic Event-Triggered Consensus Control for Multi-Agent Systems with Designable Inter-Event Time*,” 2023 31st Mediterranean Conference on Control and Automation (MED), Limassol, Cyprus, 2023, pp. 818-823, doi: 10.1109/MED59994.2023.10185702.

Abstract:
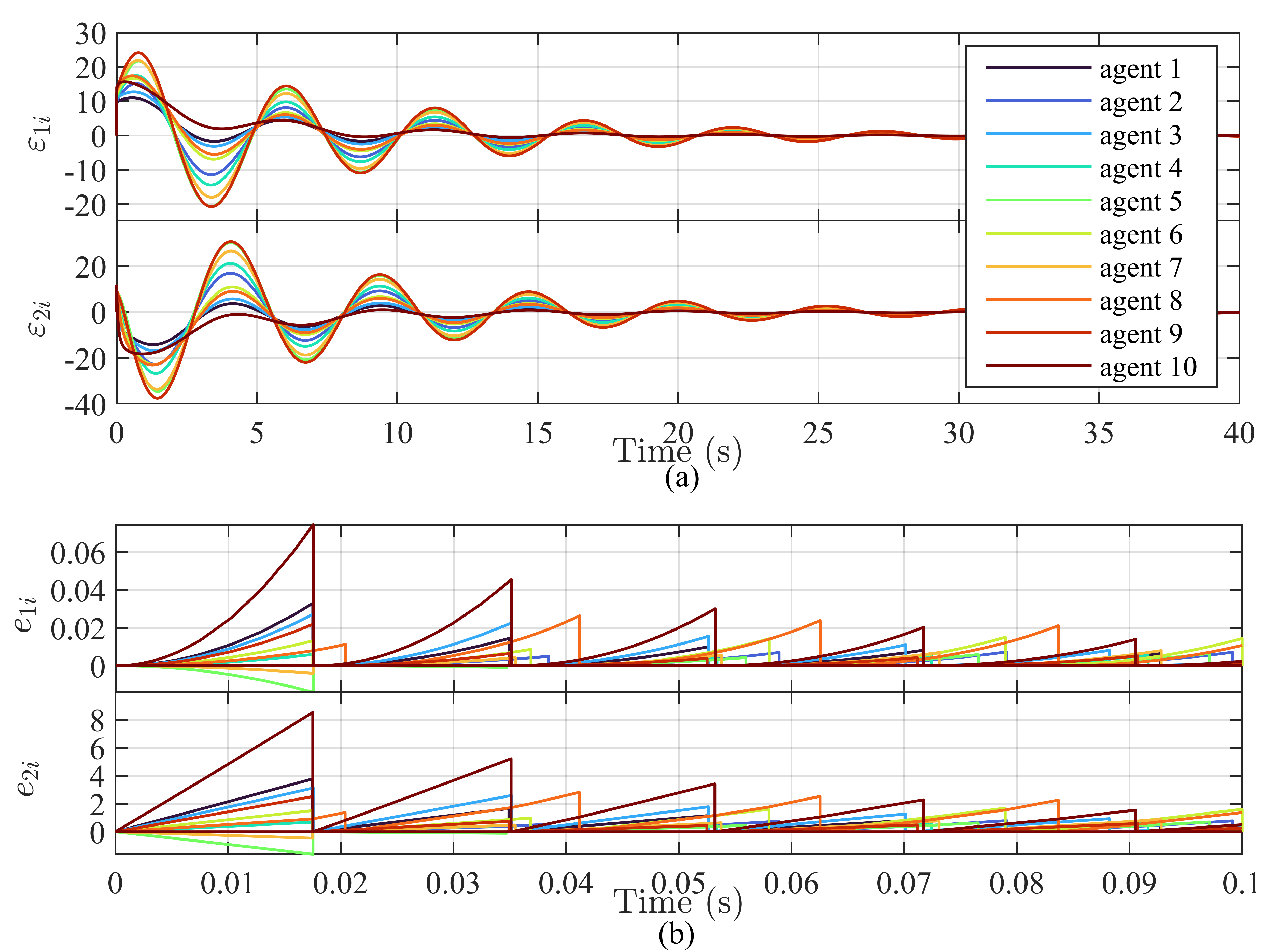
This paper considers the leader-following consensus control for linear multi-agent systems. Two improved dynamic event-triggered control frameworks are proposed. The first one is based on a moving average approach, whereas the second is a fully-distributed control scheme based on a well-chosen Lyapunov function with rigorous proof of adjustable inter-event time. The proposed methods involve model-based estimation and clock-like auxiliary dynamic variables to increase the inter-event time as long as possible eventually. Compared to the static event-triggered strategy and the existing state-of-the-art dynamic event-triggered mechanism, the proposed approach significantly reduces the communication frequency while still guaranteeing asymptotic convergence. Numerical simulations demonstrate the validity of the proposed theoretical results.

Keywords:
Multi-agent systems, Leader-following consensus, Dynamic event-triggered control, LMI, Designable inter-event time.

Trajectory of consensus error

PDF preview: